ΕΙΣΑΓΩΓΗ ΣΤΗ
ΣΥΓΧΡΟΝΗ ΦΥΣΙΚΗ ΙΙ
ΠΡΩΤΗ ΣΕΙΡΑ
ΑΣΚΗΣΕΩΝ.
ΙΔΑΝΙΚΟ ΑΕΡΙΟ
ΝΟΜΟΣ
ΑΚΤΙΝΟΒΟΛΙΑΣ ΤΟΥ PLANCK
ΕΝΕΡΓΕΙΑΚΗ
ΚΑΤΑΝΟΜΗ ΤΩΝ ΗΛΕΚΤΡΟΝΙΩΝ ΣΕ ΜΕΤΑΛΛΟ
ΛΕΥΚΟΙ
ΝΑΝΟΙ, ΑΣΤΕΡΕΣ ΝΕΤΡΟΝΙΩΝ ΚΑΙ ΜΑΥΡΕΣ ΟΠΕΣ
ΗΛΕΚΤΡΟΜΑΓΝΗΤΙΚΗ
ΑΚΤΙΝΟΒΟΛΙΑ
Μετάφραση από "Concepts of modern physics,
A.Beiser, 4th edition, McGraw-Hill" ασκήσεις 10,
14,16,17,19,21,23,25-28,30,31,33,35,37-40 σελίδα 352...
ΙΔΑΝΙΚΟ ΑΕΡΙΟ
Από ένα πυρηνικό αντιδραστήρα
εξέρχονται 1012 νετρόνια/m2 κάθε
δευτερόλεπτο. Εάν αυτά τα νετρόνια έχουν
κατανομή ενέργειας Maxwell-Boltzmann που να αντιστοιχεί
σε Τ=300 Κ, υπολογίστε την πυκνότητα των νετρονίων
στη δέσμη.
ΝΟΜΟΣ
ΑΚΤΙΝΟΒΟΛΙΑΣ ΤΟΥ PLANCK
Εκφράστε τον τύπο ακτινοβολίας του Planck ως
συνάρτηση του μήκους κύματος.
Με ποιό ρυθμό θα έφτανε η ηλιακή ενέργεια στη γη
αν η επιφάνεια του 'Ηλιου ήταν 10 ψυχρότερη απ' ότι
είναι;
Το θερμογράφημα μετρά το ρυθμό με τον οποίο
εκπέμπει υπέρυθρη ακτινοβολία κάθε τμήμα του
ανθρώπινου δέρματος. Για να επιβεβαιώστε ότι μια
μικρή διαφορά στη θερμοκρασία του δέρματος
αντιστοιχεί σε σημαντική διαφοροποίηση του
ρυθμού ακτινοβολίας, βρείτε την ποσοστιαία
διαφορά μεταξύ της ολικής ακτινοβολίας του
δέρματος στους 34 και στους 350 C.
Με ποιό ρυθμό διαφεύγει ακτινοβολία από μια οπή
επιφάνειας 10 cm2 στα τοιχώματα ενός φούρνου
το εσωτερικό του οποίου έχει θερμοκρασία 7000
C;
Ένα αντικείμενο έχει θερμοκρασία 4000 C. Σε
ποιά θερμοκρασία θα ακτινοβολούσε ενέργεια δυο
φορές πιο γρήγορα;
Θεωρώντας τον 'Ηλιο ως μέλαν σώμα στους 6000 Κ,
εκτιμήστε το τμήμα της ολικής του ακτινοβολίας
που αποτελείται από κίτρινο φως μεταξύ των 570 και
590 nm.
Το λαμπρότερο τμήμα του φάσματος του αστέρα
Σείριου βρίσκεται σε μήκος κύματος περίπου 290 nm.
Ποιά είναι η θερμοκρασία της επιφάνειας του
Σείριου;
Ποιό είναι το μήκος κύματος της πιο έντονης
ακτινοβολίας από ένα αντικείμενο που η
επιφανειακή θερμοκρασία του είναι 340 C,
περίπου αυτή του ανθρώπινου δέρματος; Σε ποιό
μέρος του φάσματος ανήκει;
Βρείτε την ειδική θερμότητα υπό σταθερό όγκο 1 cm3
της ακτινοβολίας σε θερμική ισορροπία στους 1000 Κ.
ΕΝΕΡΓΕΙΑΚΗ
ΚΑΤΑΝΟΜΗ ΤΩΝ ΗΛΕΚΤΡΟΝΙΩΝ ΣΕ ΜΕΤΑΛΛΟ
Η ενέργεια Fermi στο χαλκό είναι 7.04 eV.
Συγκρίνετε τήν κατά προσέγγιση μέση ενέργεια των
ελεύθερων ηλεκτρονίων στο χαλκό σε θερμοκρασία
δωματίου (kT = 0.025 eV) με τη μέση ενέργεια που θα
είχαν αν περιγράφονταν από τη στατιστική
Maxwell-Boltzmann.
Η ενέργεια Fermi στο χαλκό είναι 7.04 eV. Τι ποσοστό
περίπου των ελεύθερων ηλεκτρονίων στο χαλκό
βρίσκονται σε διηγερμένες στάθμες
α) σε θερμοκρασία δωματίου;
β) στο σημείο τήξεως του χαλκού, 10830 C;
Η ενέργεια Fermi στον άργυρο είναι 5.51 eV.
α)Ποιά είναι η μέση ενέργεια των ελεύθερων
ηλεκτρονίων στον άργυρο στους 0 Κ;
β)Ποιά θερμοκρασία είναι αναγκαία για να έχει
αυτήν την τιμή η μέση ενέργεια των μορίων ενός
ιδανικού αερίου;
γ) Ποιά είναι η ταχύτητα ενός ηλεκτρονίου με
αυτήν την ενέργεια;
Η πυκνότητα του ψευδάργυρου είναι 7.13 g/cm3
και η ατομική του μάζα 65.4 u. Η ηλεκτρονιακή δομή
του είναι 1s2 2s2 2p6 3s2 3p6
3d10 4s2 και η ενεργός μάζα των
ηλεκτρονίων στον ψευδάργυρο είναι 0.85 me.
Υπολογίστε την ενέργεια Fermi στον ψευδάργυρο.
Οι συναρτήσεις κατανομής Bose-Einstein και Fermi-Dirac
ανάγονται και οι δύο στη συνάρτηση Maxwell-Boltzmann όταν
eαee/kT >> 1. Για ενέργειες στην
περιοχή του kT, η προσέγγιση αυτή ισχύει ea
>> 1. Τα άτομα Ηλίου έχουν spin 0 και, επομένως,
υπακούουν στη στατιστική Bose-Einstein. Επιβεβαιώστε
ότι η προσέγγιση f(e)
eαee/kT
Aee/kT ισχύει για το He σε
Κ.Σ. (200 C και ατμοσφαιρική πίεση, τότε ο
όγκος ενός kmol οποιουδήποτε αερίου είναι περίπου
22.4 m3) δείχνοντας ότι A >> 1 κάτω από αυτές
τις συνθήκες. Για να το κάνετε αυτό,
χρησιμοποιήστε την εξίσωση

με συντελεστή 4 αντί γιά 8 καθώς ένα άτομο Ηλίου
δεν έχει τις δύο καταστάσεις του spin που έχει το
ηλεκτρόνιο, εφαρμόζοντας την προσέγγιση, βρείτε
το Α από τη συνθήκη κανονικοποίησης 
όπου Ν είναι ο συνολικός αριθμός των ατόμων στο
δείγμα. ('Ενα kmol He περιέχει ΝΑ άτομα, η
ατομική μάζα του He είναι 4.00 u και
).
Η συνάρτηση κατανομής Fermi-Dirac για τα ελεύθερα
ηλεκτρόνια σε ένα μέταλλο δεν μπορεί να
προσεγγιστεί από τη συνάρτηση Maxwell-Boltzmann σε Κ.Σ.
για ενέργειες στην περιοχή του kT. Επιβεβαιώστε το
χρησιμοποιώντας τη μέθοδο της προηγούμενης
άσκησης για να δείξετε ότι A > 1 στο χαλκό αν f(ε)
ee/kT. Μπορεί να
υπολογιστεί ότι για το χαλκό Ν/V =8.48 x 1028
ηλεκτρόνια/m3. Προσέξτε ότι η εξίσωση (1)
πρέπει τώρα να χρησιμοποιηθεί αμετάβλητη.
ΛΕΥΚΟΙ
ΝΑΝΟΙ, ΑΣΤΕΡΕΣ ΝΕΤΡΟΝΙΩΝ ΚΑΙ ΜΑΥΡΕΣ ΟΠΕΣ
Ο 'Ηλιος έχει μάζα περίπου 2.0 x 1030, kg και
ακτίνα περίπου 7.0 x 108 m. Υποθέστε ότι
αποτελείται από πλήρως ιονισμένο Υδρογόνο σε
θερμοκρασία περίπου 107 Κ.
α) Βρείτε τις ενέργειες Fermi του αερίου πρωτονίων
και του αερίου ηλεκτρονίων στον 'Ηλιο.
β) Συγκρίνετε αυτές τις ενέργειες με το kT για να
δείτε εάν το κάθε αέριο είναι εκφυλισμένο (kT <<
eF, και έτσι λίγα άτομα έχουν ενέργειες πάνω
από eF)ή μη εκφυλισμένο (kT >> eF, και
έτσι λίγα άτομα έχουν ενέργειες κάτω από eF
και το αέριο συμπεριφέρεται ως κλασσικό).
'Εστω ένας λευκός νάνος με μάζα μισή απ' αυτή του
'Ηλιου και ακτίνα το 0.01 της ηλιακής ακτίνας.
Υποθέστε ότι αποτελείται από πλήρως ιονισμένα
άτομα 'Ανθρακα (μάζα 12 u), ώστε να υπάρχουν έξι
ηλεκτρόνια ανά πυρήνα, και ότι η θερμοκρασία του
εσωτερικού του είναι 107 Κ.
α) Βρείτε τις ενέργειες Fermi του αερίου των πυρήνων
άνθρακα και του αερίου ηλεκτρονίων.
β) Συγκρίνετε αυτές τις ενέργειες με το kT για να
δείτε εάν το κάθε αέριο είναι εκφυλισμένο ή μη,
όπως στην προηγούμενη άσκηση.
Η βαρυτική δυναμική ενέργεια μιας σφαίρας μάζας
Μ και ακτίνας R είναι Εg = - (3/5) GM2/R. 'Εστω
ένας λευκός νάνος που περιέχει Ν ηλεκτρόνια και η
ενέργεια Fermi του οποίου είναι eF. Καθώς kT
<< eF, η μέση ηλεκτρονική ενέργεια είναι
(3/5)eF και η συνολική ηλεκτρονική ενέργεια
είναι Ee=(3/5)NeF . Οι ενέργειες των
πυρήνων μπορούν να αγνοηθούν συγκρινόμενες με
την Ee. Επομένως, η ολική ενέργεια του αστέρα
είναι E = Εg + Ee.
α) Βρείτε την ακτίνα ισορροπίας του αστέρα
θέτοντας dE/dR = 0 και λύνοντας ως προς R.
β) Υπολογίστε την ακτίνα R για έναν αστέρα η μάζα
του οποίου είναι μισή από αυτή του 'Ηλιου και
αποτελείται από πλήρως ιονισμένα άτομα άνθρακα,
όπως στην προηγούμενη άσκηση.
ΗΛΕΚΤΡΟΜΑΓΝΗΤΙΚΗ
ΑΚΤΙΝΟΒΟΛΙΑ
Πίεση και ενεργειακή πυκνότητα
ηλεκτρομαγνητικής ακτινοβολίας.
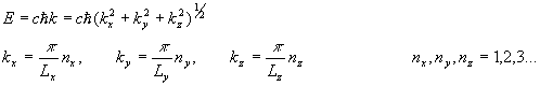
Ηλεκτρομαγνητική ακτινοβολία, ήτοι αέριο
φωτονίων, βρίσκεται σε ισορροπία σε απόλυτη
θερμοκρασία Τ μέσα σε παραλληλεπίπεδο δοχείο
ακμών Lx, Ly και Lz. Ξεκινείστε από
την έκφραση

για τις ενεργειακές καταστάσεις ενός φωτονίου.
α) Aκολουθήστε τα βήματα και τους ορισμούς της
άσκησης 1 (Φυλ. 1) και αποδείξτε ότι η πίεση του
φωτονικού αερίου είναι P = (1/3) u, όπου u = η μέση
ενέργεια της ακτινοβολίας ανά μονάδα όγκου.
β) Δείξτε ότι η αντίστοιχη σχέση για το ιδανικό
αέριο της άσκησης 1 (Φυλ. 1) είναι P = (2/3) u .
Ο μεσογαλαξιακός χώρος, ο χώρος ανάμεσα στους
γαλαξίες, πιστεύεται ότι «κατοικείται» από
ατομικό Η σε πυκνότητα 1 άτομο/m3. O χώρος
«κατοικείται» ακόμα και από θερμική ακτινοβολία
(ηλεκτρομαγνητική ακτινοβολία, ήτοι φωτόνια)
θερμοκρασίας 2.9 Κ που έχουν προέλθει από τη
«μεγάλη έκρηξη» (Big Bang). Δείξτε ότι το πηλίκο της
θερμοχωρητικότητας της ύλης προς αυτήν της
ακτινοβολίας είναι ~10-9.
Δείξτε ότι ο μέσος αριθμός φωτονίων σε
ισορροπία σε θερμοκρασία Τ μέσα σε δοχείο όγκου V
είναι

Πόσα φωτόνια βρίσκονται κατά μέσο όρο μέσα στην
αίθουσα;
Διεύρυνση των φασματικών γραμμών λόγω του
φαινομένου Doppler.
Αέριο ατόμων μάζας m βρίσκεται μέσα σε δοχείο σε
ισορροπία σε θερμοκρασία Τ. Τα άτομα εκπέμπουν
φως που περνάει από ένα παράθυρο στην x
κατεύθυνση, και το οποίο φως αναλύεται σε
φασματογράφο. 'Ενα ακίνητο άτομο εκπέμπει σε
συχνότητα ν0. Λόγω όμως του φαινομένου Doppler,
η συχνότητα του φωτός που παρατηρείται από άτομο
με συνιστώσα ux στην κατεύθυνση x είναι
v = v0(1+ux/c)
όπου c είναι η ταχύτητα του φωτός.
α) Υπολογίστε τη μέση συχνότητα
του
παρατηρούμενου στο φασματογράφο φωτός.
β) Υπολογίστε τη διασπορά
των
συχνοτήτων του παρατηρούμενου φωτός.
γ) Πώς από τη μέτρηση του εύρους
φασματικής γραμμής που προέρχεται από
αστέρι υπολογίζουμε τη θερμοκρασία της
επιφάνειας του αστέρα;